篮球新闻
杨瀚森全明星票数揭晓!获10.4万票排名第36 媒体和球员票均为零
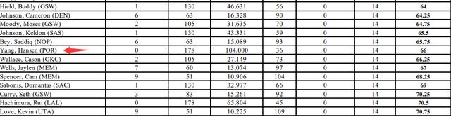
北京时间1月20日,北京时间1月20日,NBA官方公布了2026年全明星赛的首发阵容。西部首发是亚历山大、约基奇、东契奇、文班亚马和库里,东部首发是字母哥、坎宁安、布伦森、马克西和杰伦-布朗。随后,NBA官方公布了具体票数。东契奇得到3402967票,成为票王。杨瀚森得到104000票,在球迷投票部分,排名联盟第36位。


杨瀚森的媒体票和球员票均为零,2026年NBA全明星赛首发球员由球迷、现役NBA球员以及媒体评审团共同选出。球迷投票占首发人选评选权重的50%,球员与媒体投票各占25%。所有投票统计完毕后,球员将按照投票群体划分,在东西部两个联盟内分别进行排名。每位球员的最终得分,由其在球迷投票、球员投票和媒体投票中的加权排名取平均值计算得出。
球员得分的权重分配为球迷投票占50%、球员投票占25%、媒体投票占25%,具体计算公式为:(球迷排名×2+球员排名+媒体排名)÷4
杨瀚森的加权得分是66(分越低排名越高,比如约基奇是1.75),在他后一位是雷霆的卡森-华莱士,在他前一位是鹈鹕的萨迪克-贝。
杨瀚森今日已经被开拓者下放到发展联盟,将继续为混音出战比赛。过去两场发展联盟比赛,杨瀚森场均18分12篮板,分别创得分新高(22)和篮板新高(17)。
上一篇:拉锯战!快船三分15中3仍领先:哈登12罚全中轰18+5,萨尔17分
下一篇:返回列表
相关资讯
-
杨瀚森全明星票数揭晓!获10.4万票排名第36 媒体和球员票均为零
-
拉锯战!快船三分15中3仍领先:哈登12罚全中轰18+5,萨尔17分
-
霸气,东契奇谈湖人即将到来的漫长客场之旅:拿工资就是为了打球
-
29分惨败!北控防守倒数+张庆鹏弃用八年老臣,将帅不合摆上台面
-
8位中国球员NBA首秀全记录!3人惊艳,1人感到意外
-
季乐:退役后竟然当交警,曾拿3次CBA总冠军,妻子是宏远啦啦队长
-
胜四川发布会!杜锋爆赞对手展情商,回应外援适应,奎因直指2点
-
山东男篮官宣第四外援,2米12防守悍将加盟,欧洲杯15.5分5.5篮板
-
“千胜”加冕夜!华南虎104-76力克四川
-
前行无畏丨CBA常规赛第十七轮 — 主场力克北控
-
鲍威尔狂砍23分,山东高速男篮77-68战胜吉林
-
输广州发布会!张庆鹏怒斥全队防守太软,不能赢一场就松懈!